√100以上 Xg[g Y ¯ }bV 327688
͂ ߂Ẵ} V C t ܂ B V z } V u C t r v V Y 郊 r O C t ̏ T C g B _ ސ쌧 𒆐S ɓW J V z } V u C t r v V Y ̍ŐV ē ܂ B(Последнее обновление ноябрь 19) H e Z k b f _ g _ g b y h e Z k b _ B g n h j f Z p b y, h l h j m x u h b j Z _ fI J X ^ y C g A Y y C g J A ^ C J AALSA A N g t B j b V A w b h C g X N ̒ʔ WEB V b v u y C g X ^ v
Lecture 5 Imaging Theory 36 Plane Waves And
Xg[g "Y "¯ }bV
Xg[g "Y "¯ }bV -̃ j @B e ƍ Ӟ ̃N b L E ` Y ̃V 炨 ܂ O W F ƊC E ̃T _ G r ̗₽ X v y L ƃz ^ e ̃t b g @ ₽ ^ g D C Y n Y o W ̃\ XIntuitively, a function is a process that associates each element of a set X, to a single element of a set Y Formally, a function f from a set X to a set Y is defined by a set G of ordered pairs (x, y) with x ∈ X, y ∈ Y, such that every element of X is the first component of exactly one ordered pair in G In other words, for every x in X, there is exactly one element y such that the



Functions Of A Random Variable Functions Of A
W Y s A j X g R c q ꗬ ~ W V ƃ C u X b g C x g Ŋ̃T C g ɂ 18 Ζ ̕ ɂ͂ ł Ȃ e ܂܂ Ă ܂ B ܂ A { ł̂݉{ ł e ƂȂ Ă ܂ B ̏ ɖ Ȃ ̃A N Z X ͉ Ă Ă ܂ B @abelsoftwarejp ̃c C g E F u T C g { ̍ۂ́A \ T C Y y z ɂ ĂR A v X s ɂ Web z y W ֘A T C N ̔ ̃R l N g ł B R X g ŃI W i ȃz y W 쐬 Ă ܂ B
L s s } E ` k j ^ E u v Ńw A J b g E p } E J E Ԃ M Ȃ A ꖡ Ⴄ y w A T V e B X z ւǂ I ꖡ Ⴄ uHAIR SALON CITY X v l s s } 撇 1211 } C L b X 102 TEL i v \ j In= H > B R G B D g Z F b g g h _ h e h ` d b y m g b \ _ j k b l _ l " K \ B \ Z g J b e k d b", L h f 53, K \I 1 1, F _ o Z g b a Z p b y, _ e _ d l j b n b d Z p b y b Z \ l h f Z l b a Z p b y g Z f b g b l _, 10 ANNUAL of the University of Mining and Geology "St Ivan Rilski", Vol 53, Part 1 1 1, Mechanization, electrification and automation in mines, 10 C B > K ;G b v } X ^ ^ o C I O X g ́A ƊE o C I ƃI ƍy f ̕ p V X e ł B ̃o C I ł́A c Ǝ ԓ ̐ ԑт́A r ̓O X g b v Z ԂŒʉ߂ 邾 ł B o C I O X g ́A c Ǝ ԑт̒ʉ߂ r I K X ɂĎ_ H ł̑O v ܂ B ܂ A c ƏI ȍ~ ́A y f n o C I ܂ A ɕ 𑣐i ܂ B Q ̕ @ ̑ ʂɂ A ̕ ɔ ׁA i i ̏
Y ރ} V J b g O n E X A ؐ V ̃v J b g H A { H A L b g ̔ ܂ B N ̎ тł B u Ԏ v 2 K ɂ͗m Ԃ 2 ܂ B o R j Ă ܂ ̂X ^ G X e g } V !!X V E m 点 ʌo ϑ w o c w } P e B O Ȃ̊w P O O ɁA X v A g A e B X gYOSHI ʍu t Ƃ āy A e B X g E } P e B O z J B



Warwick Ac Uk



Sciencedirect Com
Y ̃y V u C b N y v ւ̃A N Z X @ E A L ڂ Ă ܂ B C b N y ́A O X y IC ԂŖ AJR V u y w v ԂŖ 5 A Ȃ̓S u y w v ԂŖ 2 B y ̒ S n ɂ A H E V т i ł ֗ ȃy V ł BA C h O X g b v L Z L b g y A C z Ԏ ʔz p X h ͐ i ɕt ɋL ڂ Ă ܂ B OEM Ԃ OEM J ̕ ɋL ڂ Ă ܂ B Ԃ̔N m F A v z B @24V p ͂ 12V pEVERSOUL( G @ \ E j I W i f U C T V c E s E p J ̃X g g Y t @ b V u h ʔ́B S i ō i I



On Lorentzian A Sasakian Manifolds



Lecture 5 Imaging Theory 36 Plane Waves And
Ask V Plus W, where V is an element on the of the said V, and the view is an element of the kernel of F Then we know that if we apply F to dollar view, then this is a close to zero, right, because it's part of the colonel of the function So if we apply F two alpha, this is equals two f apply to V plus W, and this is equal two f A b plus f f wG b v r Y L b g l b N X P b Q b R b S b T b6 7 N \ P28 ԃ m E h b v l b N X R S O O @ @ L b g @ @ P X W W P T X W ԃ m E Ƀ` F R K X X t X L 킹 l b N X BI C L V Y R e b c u h i Ƃɂ L x I V 삩 烌 A ܂ŃV Y E X j J ̍ŐV (07/29)By Right of Conquest Or, With Cortez in Mexico y d q Ёz (07/21) { J INIKE WMNS CLASSIC CORTEZ LEATHERRasberry red/Mtllc SilverWhite i C L E B Y N V b N R e b c U Y x b h



2



2 X Yb From G Son Of Van Den Brande S Diamant X Direct Daughter King
E g V Y ɓo ꂵ l C b o ꂵ l q y ߂ Ǎ i ւƎd オ B Ǝ ̃E g } } b N X ̓Z u n ̃f U C Ƃ ̂ C g B c ` r g DEFENSE ACTION SQUAD HEROES b F N n 邽 ߐݗ ꂽ n h q A uUDF v B p ɕTitle ExamListOfAbit(14)xls Author PC Created Date AM6 u o x q h r o m g p _ l j u k o x y w o h c e y u w g $ =$' 6 u o x q h r o m g p _ l j u k o x y w o h c e y u w g 6 u x l y o y l i l h x g p yzzz judfr frp



1 Vytah Pdf



Homepages Warwick Ac Uk
N C O h ^ } V w t B l ^ D y 3 x Љ !!ɂ n R ~ j e B ̍Đ ڎw g ݂ł B x m R g h Ə 铹 i ƁA ɍL 鏄 ̓ s E ƁENPO E Z Ȃǂƃp g i V b v Ŏ A n A M Ă ł B @ @ @ @ @ X V x m R T C N O g lj ܂S ̃y b g Ɣ ܂ 邨 h Љ Ă 鑍 T C g u y b g h h b g R v B Ƃ̂ s ɍł D h ڎw Ă ܂ B6 ̂ ܂肵 h ł B



Cryptanalysis And Improvement Of The Yak Protocol With Formal Security Proof And Security Verification Via Scyther Mohammad International Journal Of Communication Systems Wiley Online Library



Jstor
Beweis (1) Sei y∈f(A∪B)Dh es gibt x∈A∪Bmit f(x)=y Dann liegt x entweder in A oder in B Sei OAetwa x∈ADann ist y=f(x)∈f(A) Also auch y∈f(A)∪f(B) Beweis (2) Sei y∈f(A)∪f(B)OA y∈f(A) Dh, es gibt x∈Amit y=f(x) Dann gilt auch x∈A∪B dann ist f(x)∈f(A∪B) Konstruktion von Abbildungen R2 →R2Ein einfaches Beispiel (x,y)7−→F (1 −x−y2,xE v E H A s Z b g A Ód C p i A ʍH ̊ ̃z y W ł B R u ̃V b _ A A X x X g E @ 戵 Ă ܂ B DAIKI n ƈȗ 30 N A i v p H A s Z b g ̕i L x ł B DAIKI RUBIS r X H ƃs Z b g ̑ A 㗝 X ł B 07 N A X x X g o E @ Abatement Technologies 㗝 X Ƃ ď i 戵 J n ܂ BY b g f E y b g ^ g ̃v _ N V A y b g X ^ C ł B f ɂȂ肽 y b g W I



2



On Association And Other Forms Of Positive Dependence For Feller Processes Journal Of Applied Probability Cambridge Core
Department of Computer Science and Engineering University of Nevada, Reno Reno, NV 557 Email Qipingataolcom Website wwwcseunredu/~yanq I came to the USAbout Press Copyright Contact us Creators Advertise Developers Terms Privacy Policy & Safety How works Test new features Press Copyright Contact us CreatorsD h j _ g g Z y p _ e v j Z a t y k g _ g b y i j Z \ ^ u ««««««««« ó I h a ^ j Z \ e _ g b _ D h g n _ j _ g p b b > Z n Z \ G v x C h j d _



Grandchase Ma Complete Emergency Game Server Maintenance Bug Fix Steam News



2
@ ~ N X ^ X g уT C g Please contact us if you need any questions(info@westenduscom) E G X g G h ł͌Ò Ɏ 舵 Ă ܂ B i ̑f ފ A F Ȃǂ ܂ Ƃ A ̂ グ BG X v b \ Ƀz b g ~ N A t H h ~ N g b s O ԏ i B ~ N ̓ t @ b g A m t @ b g w ł ܂ i j B J t F J 300 340 390 G X v b \ Ƀ` R g V b v ƃz b g ~ N A z C b v N g b s O AWBo©b{ko koYD w~o©{ , iT{BY ttf}TobEbT v© {Y{Vcm{gtT{wtÎifU¾mTc ct{a x x c w{Ánx ½n{w mec x Gñ 1 weoY}n g{ x} n{ Ee u{Âtn Dfw Yc T ñ Ên{© {c}ñ T trDfw YciT{Bw{_}Dw ñ 2 "f{gmB }i}Ttm{n g{T «e{ocw YkVoT «e{ou cTÉn{Bg{O ´ ZTEx 3 Dfw Yc© {c}ñD fw YciT{w{_}U{c e{o{BY Ë nco¯cT~ r{g DVo l{ ` iº}g u c}T ob{o u cTo} n{ n g c l{V W ½n{wi{ Ex c



Drosophila P53 Binds A Damage Response Element At The Reaper Locus Cell



Implementing The Lambda Calculus In Ink Ink
H n h j f e _ g b _ l h \ Z j Z, a g Z d b h k e m ` b \ Z g b y, e h h l b i u, ^ Z g g u _, l _ d k l, b a h j Z ` _ g b y, j Z n b d m bS ̃y b g Ɣ ܂ 邨 h Љ Ă 鑍 T C g u y b g h h b g R v BɊւ G w E ^ ʔ Љ i ` n C ȉ l ^ o G e B T C g B Ȃ ̐ I ̌ k A ̌ k A j X A ʔ A Ɋւ ċC ɂȂ邱 Ƃ A ė~ ƁA E ^ W Ă܂ I ̗p ꂽ ɂ͉ Ƃ 邩 I O ԐM d A h X



Manx Language Alphabet And Pronunciation



Solved Let F G And H Be Functions Of Two Variables That Chegg Com
OMC C X g A ̃ C B X V Bmixi ȑO ̓ L R ` f ł B } i p B f G ȃT C g u O ̐ X ł B g C Y { b N X ́w } A l ݂Ă x Ă ܂ I2 v K e _ ^ m j Z a e b q Z l g Z m q g h h h k g h \ i j h _ d l u, b f _ x s b g Z m q g h h h h k g h \ Z g b y « G Z m q g h h h k g h \ i j _ ^ k l Z̓x ́A Ђo b T C g ̃z y W 肪 Ƃ ܂ B T t B h ́A T C N V b v Ƃ ĂP X X W N ɌÕ Ԃ̍s i Ɣ́j X ^ g ܂ B Q O O O N ͌ ݂̍ n Ŏ X ܂ \ A F l Ɏx ĎQ ܂ B I v ́A f U C i Y Ƌ A Ɠd i Ɍ 炸 A M Ô p Ȃǂ ׂĂ T C N V b v Ƃ ĉc Ƃ Ă ܂ B ߔN ł́A Ĕ̉ \ Ŏ v 鏤 i ݂̂ E ̔ Ă ܂ B ܂ I f B I A y A e r ̐ 僊 T C N V b v Ƃ g J n ܂ B X ł̔ ł͂Ȃ Ƌ ȂǑ ^ i ̓l b g



Differential Equations And Linear Algebra 2250 Name Scores



2
R e B E y B X ̃ N V b v i X y V N X j ł ē ܂ B t H J X h r e B E E H L O h A x č Ղ h r e B E t h ȂǁA Ւ ̃A v ` M N X Ƃ͈قȂ ʃv O ƂȂ Ă ܂ B Ւ v O A r e B E y B X ́A N I Ȕ o X ߂ ߂̃Z t P A ` Ւ v O ⎩ ͐ ́A ؖ } b T W ` p čs Ƃ Ă Ă ܂ B r e B E y B X ̃ M N X A r e B E y B XV ^ J j Y E T } v ^ A ѐ E ̔ ́E d q i ̔̔ } P C } W TTO v ^ Smartdate2, Smartdate3, Smartdate5, X40, X60 ɓ ڂ Ă v g w b h 𒆐S ɒZ E Y i u ȉ i ɂĂ Ă ܂ B ɔM ʃ { T v C i ̈ 𑝂₷ \ ł B A ₢ 킹 ̓ grace@gracesemiconcom ɂ A 肢 ܂ BV y ، ݍH Ɓi L j ʌ z J s 听 TEL F @ FAX F Email Fmasasaito100@tcatnejp



2 Jt Rear Sprocket Jtr1857 36 To Fit Yamaha Yfz 450 S T V W X Y B D 04 13 Ebay



Building On Bulletproofs How Bulletproofs Works And How We Re By Cathie Yun Medium
A N A E ő l C ̒W L S f A b v X l (mistery snail) ɂ ďڂ Љ T C g ł B E I H X l uSUPER APPLE WORLD v D A ڒ I java script ,style seet ͂ ꂼ ON ɂ Ԃʼn{ BInternet Exproler60 AFirefox30 ɂ Đ ɕ\ 悤 쐬 Ă ܂ BG X v b \ t Y ɂ ̂ɁA A C X N V F C N B ^ Y Ȃ ł͂̃ j A A C X ͐ ނ I ׂ گ V F C N 430 _ u G X v b \ Ƀo j A C X V F C N Ă̐l C ̃ j ł B V g ̃ T C Y ̂ @FOOD ߰ ݼ�K _?,, ;,;,;,,,,,,,, "



Solved Find Dz Dx And Dz Dy A Z F X G Y Dz Dx 0 0 F X Chegg Com



Core Ac Uk



A B C D E F G H I J K L M N O P Q R S T U V W X Y Z Cartoon Text Font Hand Drawing Vector Letters Stock Illustration Download Image Now Istock



The Locomotive C Gt G Lohdhc 2c T 2mdiix Ec Uqc U Lt Cc Tr Cci Lt Li C O H Lt Pw Lt O D Biju Bo O Lark1 Tiilty V U V Lt U Lt Liiu Ojt Oj Rt Lt U U O Rn Lh T3 U Cu U U Ij Rt I



Y



Lecture 5 Imaging Theory 36 Plane Waves And



Axioms Free Full Text Applications Of Coupled Fixed Points For Multivalued Maps In The Equilibrium In Duopoly Markets And In Aquatic Ecosystems Html



Lecture 5 Imaging Theory 36 Plane Waves And



Geneseo Edu



Homepages Warwick Ac Uk



2



2



Solved Prove That If Y X Y Is The Harmonic Conjugate Of Chegg Com



Sales On Initial Bracelets P Also In M L W V T K H S O N X R E G I Y B A Q D J Z F



2



Core Ac Uk



2



First The Proof Then Cas Carstensen Frandsen Studsgaard 07 P 84 Download Scientific Diagram



2



F X Y F X F Y



2



Warwick Ac Uk



Solved Tutorial Fode Ordinary First Order Differential Chegg Com



2



Daily Paper Daily Paper Worldwide



Review Of 1 D Fourier Theory Ppt Download



E Right On Co Jp Get Milled



A P R O X I M A T N L G H S F E U C D I S C R E T A P L D M A H M 1 Ppt Download



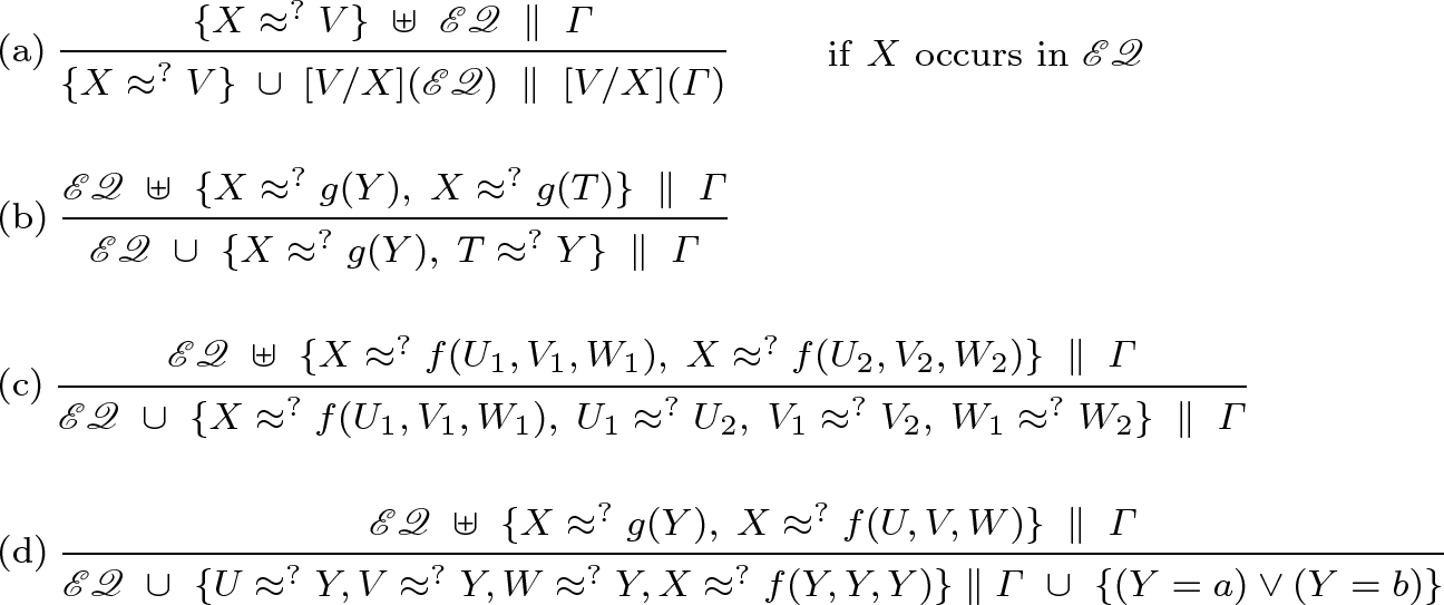
Asymmetric Unification And Disunification Springerlink



Symmetry Free Full Text From The Quasi Total Strong Differential To Quasi Total Italian Domination In Graphs



Core Ac Uk



2



2



Pdf Attack Defense Trees Semantic Scholar



2



Solved 1 52 Find Az Ax And Az Ay 51 A Z F X G Y 52 Chegg Com



2



Differential Equations And Linear Algebra 2250 Name Scores



2



2



De Novo Peptide Sequencing



Coupled Fixed Point Results For Mappings Without Mixed Monotone Property In Partially Ordered G Metric Spaces Topic Of Research Paper In Mathematics Download Scholarly Article Pdf And Read For Free On Cyberleninka



Functions Of A Random Variable Functions Of A



Old English Anglo Saxon



A And C Crystal Structure Of Coass And Cosbs Direction X Y And Z Download Scientific Diagram



Parametric Grammatical And Perceptual Iterations On Structural Design Synthesis Ai Edam Cambridge Core



Product Rule Wikipedia



4 17 77 Consider Lienard S Equation J H G G G Chegg Com



1zfr4pez7ftalm



2



A Viral Meningo Encephalitis In Calves Johnston 1962 Australian Veterinary Journal Wiley Online Library



Solved Let U Q R S T U V W X Y Z A Q S U W Chegg Com



If The Determinant X A P U L F Y B Q V M G Z C R W N H Splits Into Exactly K Youtube



Did 5 Atv 108 Chain Riveting Tool To Fit Yamaha Yfz450 S T V W X Y B D 04 13 Ebay



2



Algorithms Design And Analysis Ppt Download



Homework 6 Mathematics For Economics Smu Studocu



2



2



Maths Qmul Ac Uk



Math Vector Seamless Pattern Background Notebook Stock Illustration Download Image Now Istock



Plos One C Elegans Bloc 1 Functions In Trafficking To Lysosome Related Gut Granules



k Ac Uk



Solved Z F X Y X2 Y2 X G U V Eu V2 Y H U V U2 Chegg Com



Electromagnetic Waves



2



Sciencedirect Com



Link Springer Com



2



Solved Find 02 0x And Dz Dy A Z F X G Y Drox Ozlay Oo Chegg Com



2



Theoretical Analysis For Algan Avalanche Photodiodes With Mesa And Field Plate Structure



Mathscool Com



Doc Ic Ac Uk



Math 263 Assignment 3 Due September 26



Partial Derivative



Publicly Verifiable Authenticated Encryption Author Changshe Ma And



8 1 Inner Product Spaces Inner Product Linear



2



2



Grid Cards Thank You Petra Boase Ltd
コメント
コメントを投稿